广东省2022年全国高校招生本科批次最全投档线(建议收藏)(2020广东本科投档线排行)

一、2022年高考概况及分数线
2022年广东报名考生共70.2万人,65.9万高考生赴考,共设501个常规考点,常规考场超过2.4万个。

本科批次普通类分数线
本科批次普通类(历史):总分437分
本科批次普通类(物理):总分445分
特殊类型招生录取控制线(含强基计划、高水平艺术团、高校专项计划、综合评价)
特殊类型招生录取控制线(历史):总分532分
特殊类型招生录取控制线(物理):总分538分
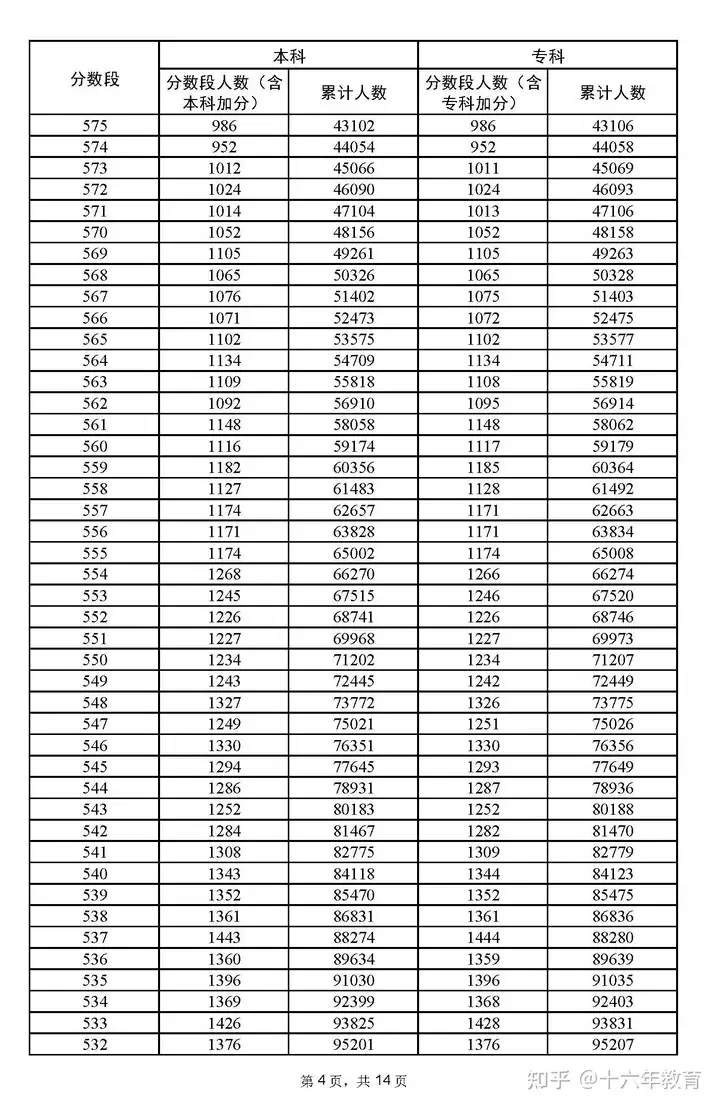
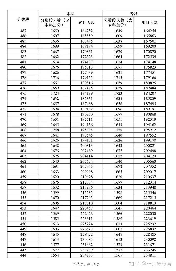
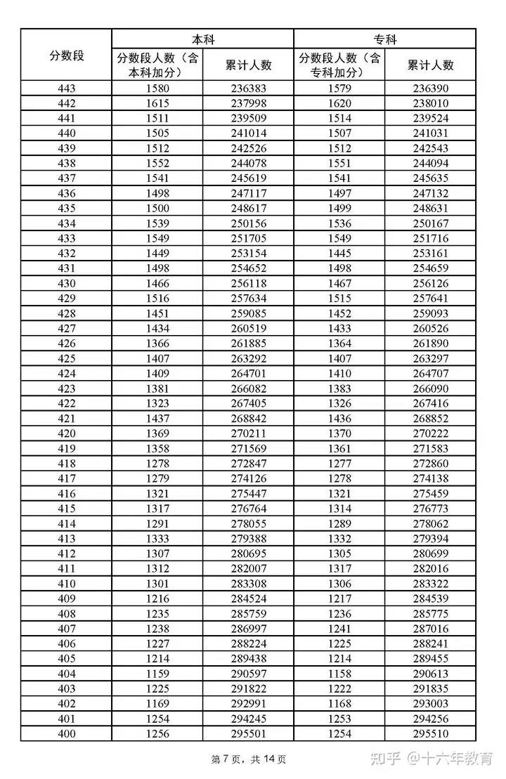
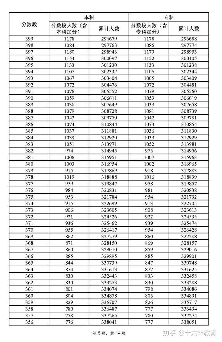
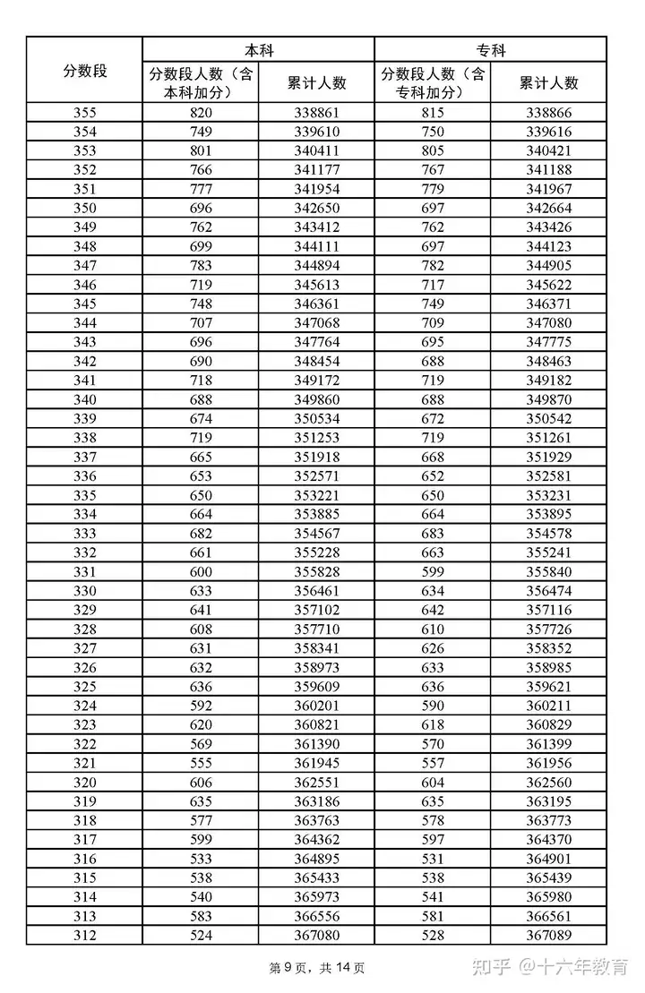
二、2022年高考一分一段表
普通类(历史)和普通类(物理)上线人数共 334331 人,约比去年增加 16442 人。但600 分及以上的考生,较往年减少约 3228 人。
2022年高考本科上线情况(物理类)
普通类(物理)共有 233239 人达到本科线(445 分),比去年在本科线(432 分)上的 222304 人,增加了 10935 人。特殊类型招生录取控制线 538 分,上线人数为 86831 人,比去年增加 3841 人。600 分及以上考生也比去年减少 1677 人,共有 22072 人。














2022年高考本科上线情况(历史类)
普通类(历史)本科线 437 分,上本科线有 101092 人,比去年该类本科线上的 95585 人增加了 5507 人。特殊类型招生录取控制线 532 分,上线人数 20613 人,较去年该类上线人数 19846 人增加 767 人。600 分及以上 1678 人,较去年的 3229 人,减少了 1551 人。













三、2022年高考本科投档线
2022年广东省本科批次投档投出考生300966人,其中:普通类(历史)投出78163人,普通类(物理)投出195409人,体育类投出4492人,音乐统考投出3636人,美术统考投出16635人,舞蹈统考投出883人,广播电视编导统考投出780人,书法统考投出334人,播音与主持校际联考投出634人。
2022年高考本科投档线(物理类)
北京大学、清华大学最低投档分数线为683分以上,最低排位88以内;复旦大学最低投档分数线669分,最低排位452;上海交通大学最低投档分数线660分,最低排位961;
省内中山大学最低投档分数线614分,最低排位13023;
华南理工大学最低投档分数线613分,最低排位13717;哈尔滨工业大学(深圳)最低投档分数线647分,最低排位2583。








































































2022年高考本科投档线(历史类)
北京大学、清华大学最低投档分数线均为651分以上,最低排位28以内;中国人民大学最低投档分数线633分,最低排位151;复旦大学最低投档分数线639分,最低排位93;省内中山大学最低投档分数线602分,最低排位1433;华南理工大学最低投档分数线592分,最低排位2447;北京师范大学(珠海校区)最低投档分数线599分,最低排位1734。








































