重磅!2021年上海高考本科普通批投档线出炉!(上海高考普通批分数线)
刚刚,上海市教育考试院公布了2021年上海市普通高校招生本科普通批次平行志愿院校专业组投档分数线,话不多说,快来看看吧!
为贯彻落实教育部关于做好普通高考招生录取工作的有关要求,积极营造尊重考生兴趣选择的良好导向,避免发生炒作高分段考生投档情况等现象,本市自2020年起不再分校公布本科普通批次高分段院校专业组投档线。2021年对此类投档线继续统一表述为 “580分及以上”(上海高考满分为660分),相关院校专业组包括:复旦大学(01)、复旦大学(02)、复旦大学(03)、复旦大学医学院(01)、上海交通大学(01)、上海交通大学医学院(01)、中国人民大学(01)、中国科技大学(01)等8个专业组。
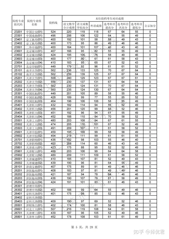
580分及以上考生的本科普通批投档信息将由市教育考试院会同考生所在中学逐一告知;580分以下考生请对照下表结合本人志愿填报情况自行判断投档去向(部分院校Q组投档结果另行公布)。



























