2022年上海高考录取本科分数线公布!外地子女如何在上海高考?(上海本地户口高考分数线)
2022年上海高考成绩放榜!
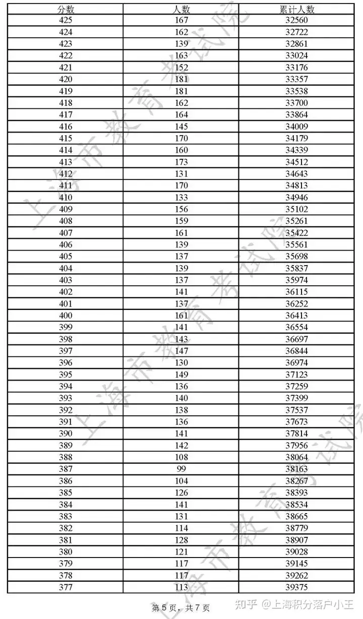
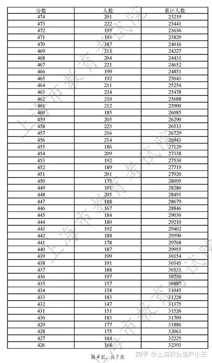
根据上海招考院统计放榜有效成绩总人数:44839人
上海2022年高考成绩满分为660分
其中:
特殊类型招生控制分数线:503分,上线12622人
本科录取控制分数线:400分,本科上线36413人
本科上线率为:81.2%
2022年考生高考成绩分布参考表



2022年上海市普通高等学校秋季招生本科各批次录取控制分数线经审定公布如下(上海高考本科成绩满分为660分):

2022上海高考本科上线人数:36413人
在沪想考入本科院校,需要考取的分数达到:
400/660=0.6060
整体成绩的60.60%即可
假设单科满分为100分
单科平均成绩达到60.60 就有机会被录取
所以,在上海参加高考有着考入本科的“绝对优势”!
外地子女在上海参加高考的条件:
参加上海高考并非只是上海“土著特权”,非沪籍子女满足条件依旧可以享受平等的高考政策待遇。
满足以下三个条件:
第一,父母双方持有上海居住证,至少一方积分达到 120 分,且已办理了积分申请。
第二,考生在本市参加了中考,或父母一方持有上海居住证满三年。
第三,考生必须在本市高中毕业。
上海居住证积分获得方式:
目前主要获得方式有两种:
1、是通过学历积分,本科加学位积分90分,加年龄30分,刚好120分;
2、是通过社保积分,在上海近4年里,缴纳36个月的一倍社保,可以积50分,再学个大专学历再加50分,最后加上年龄30分,最终达到120分。
上海居住证积分自测评定工具(点击查询):
2022上海居住证积分查询_积分模拟评分系统 - 积分落户服务站new.zjtrain.cn/cal/jifenmoni?zhihu10-op01

上海居住证积分120分详情表:
