当前位置:首页
> 第11015页
第11015页
应届毕业生个人自荐信范文集合6篇(毕业生自荐书 求职信)
2024-09-20 13:45:44262
应届毕业生个人自荐信范文集合6篇 在现在的社会生活中,自荐信的使用范围越来越大,不同种类的自荐信具有不同的用途。那么,怎么去写自荐信呢?以下是小编整理的应届毕业生个人自荐信6篇,欢迎大家分享。 应届毕业生个人自荐信 篇1 尊敬的XX医院领导: 您好!…
全面指南:旅游保险的购买途径(旅游保险哪里买)
2024-09-20 13:45:42329
1. 保险公司直接购买许多保险公司都提供直接向消费者销售旅游保险的服务,你可以通过其官方网站或客户服务中心进行购买,这种方式的优势在于,你可以直接与保险公司沟通,获取详细的保险条款解释,并根据个人需求定制保险方案,直接购买往往能享受一些直销优惠。2. 通过旅行社购买当你通过旅行社预定旅行时,他们通常…
余承东重申不造车,华为终端的筹码除了手机还有啥-余承东在华为什么级别
2024-09-20 13:45:41527
华夏时报记者 卢晓 北京报道 万物皆可智能的巨大趋势下,面向C端用户的“智能终端”,涵盖范围越来越广。 7月4日,华为终端BG推出了和小康赛力斯合作一年多来的的第二款智选车型AITO问界M7。汽车是目前面向C端用户的最大终端,也是华为在上游芯片受限后,花费颇多精力的业务之一。 事实上,今年…
探索旅游软件的奥秘:如何选择最佳的旅行团队(在哪个软件报旅游团)
2024-09-20 13:45:36200
直观友好的用户界面是一款优秀旅游软件的基础,清晰的导航栏、简洁明了的菜单选项以及快速的页面加载速度,让用户能够轻松浏览并找到心仪的旅游产品,软件应在各种设备上都能流畅运行,提供一致的用户体验。多样化的旅游产品是衡量一款旅游软件优劣的关键,用户有不同的旅行需求和预算,因此软件应提供丰富的旅游团选项,包…
歌手第六期排名和观后感来了,孙楠再次拿下第一名,那英名次滑落-我是歌手孙楠第几季
2024-09-20 13:45:36265
歌手第六期排名和观后感来了,和我预估的一样,孙楠凭借周深的这首《人是_》再次拿下第一名。下面就来具体看一下排名。第一名:孙楠没有我第一次听周深唱的那么有震撼感,但第二次我有听进去了,的确是厉害这唱功,很有诚意的表演,但个人还是喜欢周深的版本,因为周深的声音就更纯亮一点,当他唱到那句“孩童的双眸”就觉…
2023年考研大连地区各报考点网报公告(大连考研报考点选择)
2024-09-20 13:45:36326
沙河口区网报公告 一、报考条件 沙河口区只接收考试方式为“全国统考”和“ 管理类联考”、“法硕联考”的辽宁师范大学、大连交通大学两所高校的应届本科毕业生,以及户籍或工作在大连地区的往届生报名。其中: 1. 报考招生单位的考试方式为“单独考试”的考生,须选择甘井子区招生办报考点…
陕西导游证考试时间安排及备考指南(陕西导游证考试时间)
2024-09-20 13:45:35247
考试时间概览陕西省的导游证考试作为一项专业资格认证,每年通常举行两次,分别在春季和秋季,具体考试时间会根据当年的考试安排有所调整,通常情况下,春季考试在4月份左右进行,而秋季考试则安排在10月份,考生需提前关注陕西省旅游局或相关教育机构的官方通知,以获取确切的考试日期和报名截止时间,确保不错过重要时…
空气开关为何叫空气开关?它跟空气有什么关系?-空气开关也叫什么
2024-09-20 13:45:35427
空气开关是普通用户接触到最多的电气元件之一,于是就有不少朋友开始疑惑,觉得这个名字好奇怪。那么,空气开关为何要以“空气”命名呢? 用空气绝缘的(就是说有一定的空气间隙)就叫做“空气断路器”,俗称“空气开关”,它的灭弧介质就是空气。 断路器的工作原理其实就是灭弧原理,断路器开断电路时,…
华邦助力意法半导体提升STM32系列内存性能,支持智能工业与消费级应用发展
2024-09-20 13:45:35228
原标题:华邦助力意法半导体提升STM32系列内存性能,支持智能工业与消费级应用发展 华邦助力意法半导体提升STM32系列内存性能,支持智能工业与消费级应用发展 2023年3月08日,中国,苏州——全球半导体存储解决方案领导厂商华邦电子与服务多重电子应用领域、全球排名前列的…
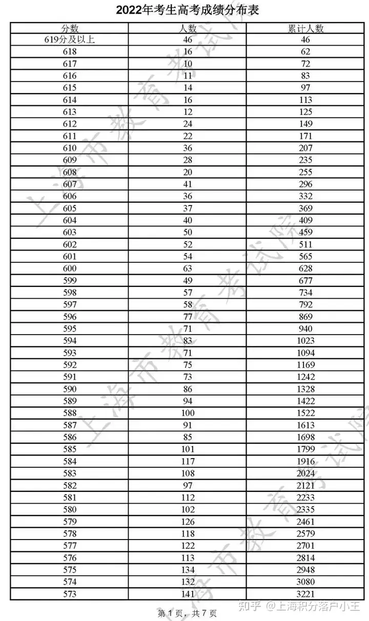
2022年上海高考录取本科分数线公布!外地子女如何在上海高考?(上海本地户口高考分数线)
2024-09-20 13:45:35411
2022年上海高考成绩放榜! 根据上海招考院统计放榜有效成绩总人数:44839人 上海2022年高考成绩满分为660分 其中: 特殊类型招生控制分数线:503分,上线12622人 本科录取控制分数线:400分,本科上线36413人 本科上线率为:81.…







